“환경규제 강화되면 공장 멈추고 일자리 사라진다.”
2015년 화학물질의 등록 및 평가 등에 관한 법률(화평법)과 화학물질관리법(화관법)이 시행될 당시, 산업계가 한목소리로 내놓던 경고였다. 가습기 살균제 참사와 구미 불산 누출 사고 이후 “이대로는 안 된다”는 여론 속에서 추진된 법 개정이었지만, 현장에서는 “기업을 옥죄는 규제 폭탄”이라는 반발이 만만치 않았다.
10년이 지난 지금, 실제로 그 우려는 현실이 되었을까. 산업연구원(KIET)은 2006~2023년까지 18년에 걸친 산업·지역 패널 데이터를 모아 정밀 분석한 연구 보고서 <환경규제 강화가 산업 및 지역경제에 미치는 영향–화학물질규제를 중심으로>에서 “산업 전체의 생산·고용 측면에서 통계적으로 뚜렷한 타격은 없었다”고 밝혔다.

“산업 전체 생산·고용, 통계적으로 뚜렷한 타격은 없었다”
화평법·화관법이 도입된 2015년을 전후해 산업과 지역경제가 어떻게 달라졌는지, 처음으로 장기간·전국 단위 데이터를 걸어 정책 효과를 짚은 결과물이다.
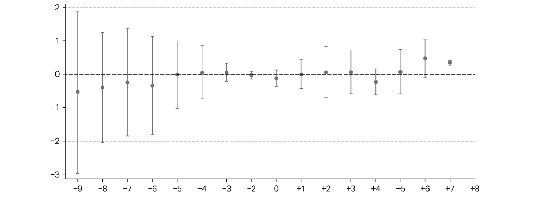
이 연구는 화학물질을 많이 쓰는 산업(처리 집단)과 그렇지 않은 산업(통제 집단)을 나눴다. 그리고 법 시행 전후 두 집단의 변화 차이를 비교하는 ‘이중차분법(DID)’과 산업별 고유 특성을 통제하는 ‘고정효과(FE) 모형’을 동시에 적용했다. 종속변수로는 생산액, 종사자 수, 설비투자, 연구개발비, 수출 등 주요 지표를 썼다.
이 결과 산업계의 초기 주장과는 다소 거리가 있다. 보고서는 “산업 단위 DID 모형 분석 결과, 화평법 및 화관법이 처리 집단의 주요 경제지표에 미친 효과는 통계적으로 유의하지 않았다”고 밝혔다. 다만 “대부분 계수가 음(-)의 방향을 보여 산업 성과에 부정적 영향을 미쳤을 가능성을 시사한다”고 덧붙였다.
숫자로만 보자면, “규제가 곧장 산업을 무너뜨렸다”는 흔한 주장과는 다른 그림이다. 법 시행 이후 화학물질 다소비 업종의 생산과 고용 지표가 약해진 흔적은 있지만, 통계적으로 “확실히 떨어졌다”고 말하기엔 애매한 수준이라는 의미다. 연구진은 그 이유로 △업종 내부의 이질성 △통제 집단 역시 간접적인 규제 영향을 받았을 가능성 △데이터 한계를 꼽았다.
기술혁신에 따른 연구개발비만은 확실히 늘었다
눈에 띄는 대목은 연구개발(R&D) 지출이다. 이벤트 스터디(Event Study) 분석에 의하면 규제 시행 1년 뒤부터 연구개발비에는 통계적으로 유의미한 ‘플러스(+) 효과’가 관찰됐다. 보고서는 “화학물질규제가 산업의 기술혁신을 유도하는 긍정적 역할을 했을 가능성을 시사한다”고 평가했다.
환경 규제를 둘러싼 오래된 논쟁, 이른바 ‘포터 가설’—엄격한 규제가 단기 비용은 늘리지만 장기적으로는 혁신을 자극해 경쟁력을 높인다는 주장—을 한국 화학 관련 산업 데이터로 부분 입증한 셈이다. 화평법·화관법이 기업 현장에서는 '골칫거리'였지만, 동시에 공정 개선과 친환경 소재 개발을 위한 연구비 지출을 밀어 올린 촉매이기도 했다는 얘기다.
하지만 지역 간 편차는 컸다. 석유·화학·정밀화학 기업이 몰려 있는 이른바 ‘화학벨트’ 지역에서, 규제의 충격은 훨씬 선명하게 드러난 것이다.
화학물질 규제에 민감한 산업이 밀집한 시·군을 ‘처리 지역’, 그렇지 않은 곳을 ‘통제 지역’으로 나누고, 제조업 부가가치, 제조업 종사자 수, 재정자립도 등 지역경제 지표가 규제 전후 어떻게 달라졌는지 추적한 결과 화학물질규제가 특정 지역에 집중된 제조업 부가가치에 부정적인 영향을 주었다.

여수·군산이 던진 경고…“선제적 산업·지역 대책과 연결”
보고서는 “규제가 해당 지역 제조업의 부가가치 창출에 직접적인 제약 요인으로 작용했다”고 적시했다. 제조업 고용은 통계적으로 뚜렷하진 않지만 감소 경향을 보여, 일자리에도 압력을 가했을 가능성이 제기됐다.
‘국가 전체 산업’ 차원에서는 버틸 만했지만, 화학산업 의존도가 높은 몇몇 지역의 경제에는 규제가 분명한 부담으로 작동했다는 의미다. 보고서는 “규제의 충격은 산업집적도가 높은 지역에서 더욱 크게 나타날 수 있다”며 “각 지역의 산업구조, 경제적 취약성, 고용 여건 등을 반영한 맞춤형 정책이 필요하다”고 강조했다.
한국은 이미 몇 차례 ‘산업 붕괴의 현장’을 경험한 바 있다. 군산 조선·자동차 산업 침체로 지정된 ‘산업위기대응특별지역’, 조선업 위기로 직격탄을 맞은 경남 거제·통영, 최근 구조적 침체에 빠진 여수 석유화학 산업 등이다. 보고서는 “산업 침체를 대비한 선제적 정책 부재 시 지역경제 붕괴와 인구 유출로 이어질 수 있다”고 경고했다.
화학물질 규제 자체는 환경·안전을 위한 필수 장치지만, 특정 산업·지역에 규제가 집중적으로 작용할 때는 별도의 완충장치가 필요하다는 지적이다. 동일한 규제를 일괄 적용하기보다 지역 특성을 반영한 유연한 접근을 통해 수용성을 높이고 정책 효과를 극대화하는 방안 모색이 절실한 이유다.
규제와 혁신 결합해 확실한 시너지 담보해야 한다
보고서는 영향 평가를 넘어, 어느 쪽으로 규제·산업 전략의 방향을 틀어야 하는지 구체적인 접근 방향을 제시했다.
첫째, '규제-혁신 결합형 전환 전략'이다. 환경규제를 단순히 기업의 부담 요인으로 한정하기보다, 산업구조를 근본적으로 개선하고 고부가가치 분야로의 도약을 이끄는 정책 도구로 활용해야 한다는 것이다.
특히 중국의 자급 확대, 글로벌 공급과잉, 원가 경쟁력 약화로 구조적 침체에 빠진 국내 석유화학 산업을 지목하며, 폐플라스틱 열분해유·바이오 기반 화학제품 등 친환경 신산업으로의 전환을 규제가 뒷받침해야 한다고 제안했다.
둘째, R&D 관련 ‘보상 메커니즘’이다. 산업 단위 분석에서 확인된 연구개발비의 증가를 근거로, 보고서는 “규제 이행을 위한 R&D 투자 확대, 기술개발 인센티브 제공, 친환경 산업 생태계 조성을 통해 기업의 혁신 역량을 강화해야 한다”고 강조했다. 규제 준수에 성공한 기업에 세제 감면, 그린 기술 펀드 등 보상을 제공하는 방식도 제안했다.

피해 집중 지역을 위한 구조전환·고용·재정 3종 세트
셋째, 지역 맞춤형 보호 장치다. 화학산업 밀집 지역의 제조업 부가가치가 실제로 감소한 만큼, “산업집적도가 높은 지역의 경제 구조와 취약성을 반영한 맞춤형 지원과 산업 재편 전략”이 필요하다.
규제는 전국 단위로 시행하되, 피해가 집중되는 지역에는 구조전환·고용안전망·재정 보완 패키지를 동시에 설계해야 한다는 뜻이다.
이번 연구 보고서는 “환경규제가 부담이니 완화하자”와 “환경과 안전이 우선이니 무조건 강화하자” 사이에서 화학물질 규제는 전국 단위로 산업을 붕괴시키지도 않았고, 동시에 특정 지역·산업에는 분명한 부담을 안겼다는 것을 보여준다.
결론적으로 규제정책을 설계할 때는 즉각적인 영향뿐 아니라 장기적인 흐름과 변화를 고려할 수 있는 예측 및 관리 체계 마련이 중요하다. 이를 위해서는 무엇보다 "환경과 지역, 둘 중 하나를 포기할 것인가?”가 아니라 “어떻게 하면 환경 규제가 산업 혁신과 지역 전환을 동시에 밀어주는 레버가 될 수 있을 것인가?”의 관점을 이동해야 한다.